Skip to content Skip to sidebar Skip to footer

Widget HTML #1

How To Find X Intercept, Solution Find The Equation Of The Line If The X Intercept And Y Intercept Are 2, Now click the button solve to get the output.

How To Find X Intercept, Solution Find The Equation Of The Line If The X Intercept And Y Intercept Are 2, Now click the button solve to get the output.. When you want the y intercepts (0,y): To find the x intercepts you must put y=0; The quadratic formula can give zero, one or two solutions. In this way you fix at zero the coordinate y of the points you are seeking. You are left with finding the coordinate x of the points.

To get x intercept put y=0 in the given equation of the line for example find the x intercept of the line 3x+4y=9 put y=0 in the above equation, 3x+4(0)=9 3x=9 x=3 which is the required x intercept The exact value of arcsin ( 0) arcsin ( 0) is 0 0. The method for solving for x will depend on the type of function (linear, quadratic, or trigonometric etc). A more precise method for finding the intercept is to use the equation for a line. Getting the x intercept from mx+b requires a very specific procedure for maximum accu.

How To Find X And Y Intercepts Of A Function Explained Youtube Linear Function Algebra Lessons Quadratics
How To Find X And Y Intercepts Of A Function Explained Youtube Linear Function Algebra Lessons Quadratics from i.pinimg.com
A regular palabola is the parabola that is facing eithe. When you want the y intercepts (0,y): To get x intercept put y=0 in the given equation of the line for example find the x intercept of the line 3x+4y=9 put y=0 in the above equation, 3x+4(0)=9 3x=9 x=3 which is the required x intercept Finding intercepts from an equation. A parabola is the shape of the graph of a quadratic equation. About press copyright contact us creators advertise developers terms privacy policy & safety how youtube works test new features press copyright contact us creators. Like x+2y=3, y=2x+5 or x^2+3x+4. The exact value of arcsin ( 0) arcsin ( 0) is 0 0.

The universal formula for every straight line, a linear equation , is:

If y = mx + b and you know m and b, how do you find y. The method for solving for x will depend on the type of function (linear, quadratic, or trigonometric etc). You are left with finding the coordinate x of the points. Parabola is a part of conic section. Divide each term by and simplify. Finding intercepts from an equation. In this way you fix at zero the coordinate y of the points you are seeking. Enter the coefficients of the straight line equation a, b and c in the input fields. A slope is a linear equation that works with changes over a particular time span. The exact value of arcsin ( 0) arcsin ( 0) is 0 0. A more precise method for finding the intercept is to use the equation for a line. About press copyright contact us creators advertise developers terms privacy policy & safety how youtube works test new features press copyright contact us creators. Enter a function, expression or equation:

By using this website, you agree to our cookie policy. You are left with finding the coordinate x of the points. A slope is a linear equation that works with changes over a particular time span. The universal formula for every straight line, a linear equation , is: You can find the exact point of the intercept by solving algebraically using the equation of the line.

How To Find The X And Y Intercept Of A Line Example 1 Intermediate Algebra Lesson 60 Youtube
How To Find The X And Y Intercept Of A Line Example 1 Intermediate Algebra Lesson 60 Youtube from i.ytimg.com
If y = mx + b and you know m and b, how do you find y. Like x+2y=3, y=2x+5 or x^2+3x+4. For example, if it was the case that m = 3 and b = 2 then you would write. Divide each term by and simplify. You can find the exact point of the intercept by solving algebraically using the equation of the line. The exact value of arcsin ( 0) arcsin ( 0) is 0 0. In this video we learn how to find the x and y intercepts of a linear equation in two variables written in standard form. Rewrite the equation as sin ( x) = 0 sin ( x) = 0.

Enter a function, expression or equation:

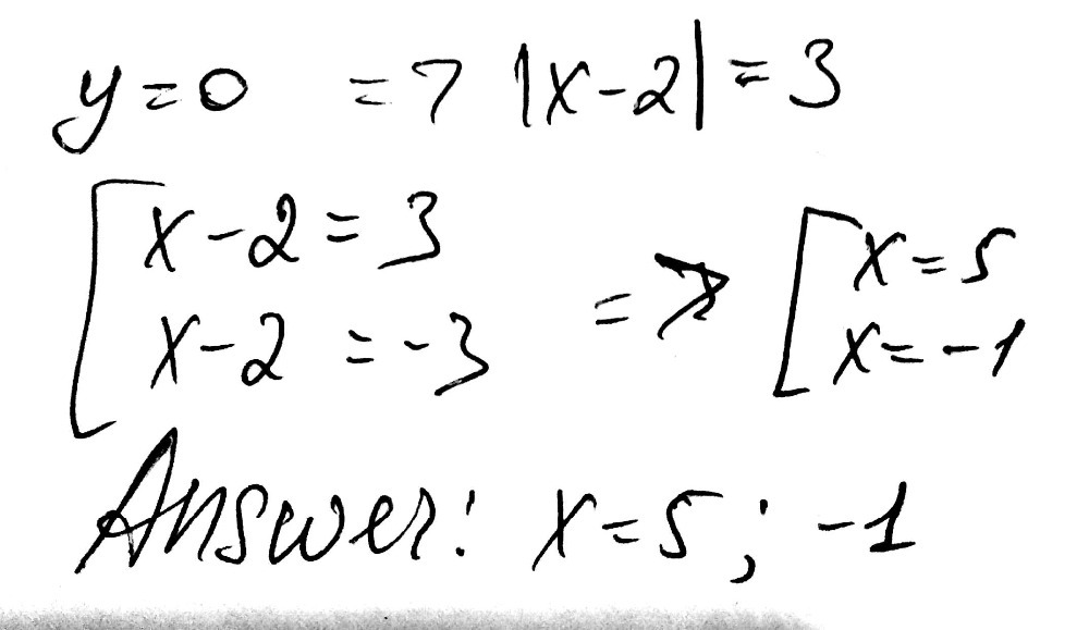
Like x+2y=3, y=2x+5 or x^2+3x+4. If y=0 you are left with: Parabola is a part of conic section. If the calculator did not compute something or you have identified an error, or you have a suggestion/feedback, please write it in the comments below. In this way you fix at zero the coordinate y of the points you are seeking. Getting the x intercept from mx+b requires a very specific procedure for maximum accu. The method for solving for x will depend on the type of function (linear, quadratic, or trigonometric etc). In this video we learn how to find the x and y intercepts of a linear equation in two variables written in standard form. Finding intercepts from an equation. The universal formula for every straight line, a linear equation , is: Well, if you don't know the value of x you can't do much more other than put the values of m and b into the equation. 👉 learn about the parts of a parabola. Set y=0 then solve for x.

A slope is a linear equation that works with changes over a particular time span. If the calculator did not compute something or you have identified an error, or you have a suggestion/feedback, please write it in the comments below. How to get the x intercept from mx+b. Set y=0 then solve for x. Parabola is a part of conic section.

Solved To Find The X Intercept S Of The Graph O
Solved To Find The X Intercept S Of The Graph O from cdn.numerade.com
Like x+2y=3, y=2x+5 or x^2+3x+4. A parabola can have either 2,1 or zero real x intercepts. The quadratic formula can give zero, one or two solutions. One way to do that, we can use the quadratic formula x = −b ± √b2 −4ac 2a. To find the x intercepts you must put y=0; The universal formula for every straight line, a linear equation , is: 👉 learn about the parts of a parabola. Getting the x intercept from mx+b requires a very specific procedure for maximum accu.

One way to do that, we can use the quadratic formula x = −b ± √b2 −4ac 2a.

The exact value of arcsin ( 0) arcsin ( 0) is 0 0. Parabola is a part of conic section. Well, if you don't know the value of x you can't do much more other than put the values of m and b into the equation. To get x intercept put y=0 in the given equation of the line for example find the x intercept of the line 3x+4y=9 put y=0 in the above equation, 3x+4(0)=9 3x=9 x=3 which is the required x intercept Now click the button solve to get the output. Subtract 4 4 from both sides of the equation. When you want the x intercepts (x,0): When you want the y intercepts (0,y): A more precise method for finding the intercept is to use the equation for a line. You are left with finding the coordinate x of the points. A parabola is the shape of the graph of a quadratic equation. Enter the coefficients of the straight line equation a, b and c in the input fields. About press copyright contact us creators advertise developers terms privacy policy & safety how youtube works test new features press copyright contact us creators.